样品
成果详情
| 项目简介 | |||||
|---|---|---|---|---|---|
| 技术简介: | |||||
| 专利类型: | 发明 | 专利申请号: | CN202011121215.0 | 公开号: | CN112226511A |
| 专利权人: | 南方医科大学珠江医院 | 发明设计人: | 卢剑铭;毛向明;王烁 | ||
| 所属领域: | |||||
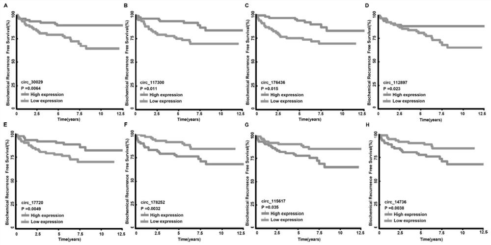
| 摘要: | 本发明涉及生物医药技术领域,尤其是涉及一种前列腺癌circRNA标志物及其应用。其中前列腺癌circRNA标志物为circ_30029、circ_117300、circ_176436、circ_112897、circ_178252、circ_115617、circ_14736和circ_17720。本发明的前列腺癌circRNA标志物具有很高的特异性和灵敏性,并且本发明的前列腺癌circRNA标志物在患者的前列腺癌组织和癌旁组织中存在表达差异,因此可作为新型的生物标志物用于前列腺癌的检测,也能为判别前列腺癌患者根治术后生化复发风险提供新的参考指标。 | ||||
| 补充信息 | |||||
| 转让方式: | 成熟度: | 预估价值: | |||
| 市场前景: | |||||