样品
成果详情
| 项目简介 | |||||
|---|---|---|---|---|---|
| 技术简介: | |||||
| 专利类型: | 发明 | 专利申请号: | CN202210402612.8 | 公开号: | CN114796535A |
| 专利权人: | 南方医科大学南方医院 | 发明设计人: | 黄顺;吴湖炳;石大志;唐刚华;韩彦江 | ||
| 所属领域: | |||||
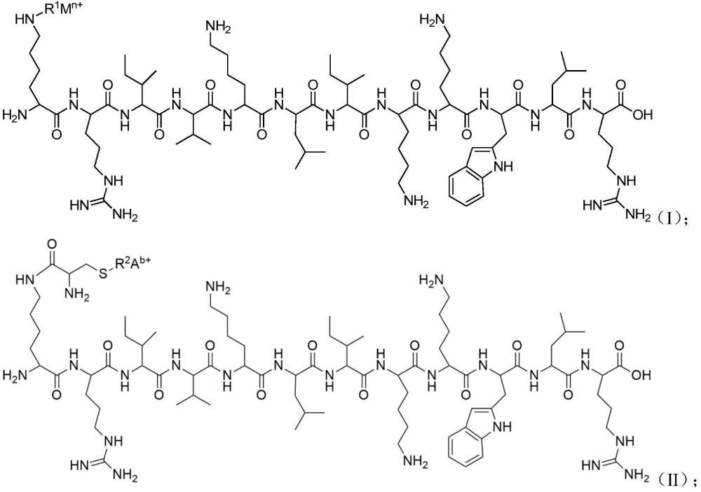
| 摘要: | 本发明公开了一种靶向G‑四链体多肽类PET显像剂及其制备方法与应用,该PET显像剂是优良的药代动力学新型探针,其结构包括多肽、金属螯合基团和放射性金属核素,其制备方法简便快捷,产率较高,该PET显像剂稳定性好、水溶性强,体内血液清除快,主要经肾脏、肝脏代谢,能特异性摄取于肿瘤部位,该PET显像剂可广泛应用于生物学功能显像中。 | ||||
| 补充信息 | |||||
| 转让方式: | 成熟度: | 预估价值: | |||
| 市场前景: | |||||