样品
成果详情
| 项目简介 | |||||
|---|---|---|---|---|---|
| 技术简介: | |||||
| 专利类型: | 发明 | 专利申请号: | CN202110720643.3 | 公开号: | CN113817025B | 
| 专利权人: | 南方医科大学南方医院 | 发明设计人: | 李欣;裘宇容 | ||
| 所属领域: | |||||
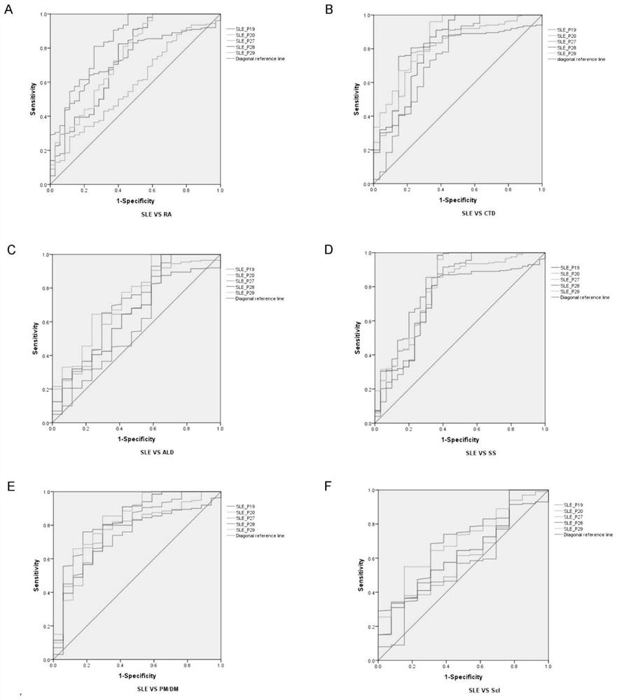
| 摘要: | 一种SLE抗原表位多肽在鉴别SLE和其他自身免疫疾病中的作用,本发明先通过噬菌体展示肽技术筛选出SLE相关多肽,再经过多肽芯片验证和ELISA法验证获取具有诊断价值的抗原表位多肽。且不仅是通过SLE患者组与健康人群组进行筛选,还通过与具有其他自身免疫疾病的疾病对照组进行筛选,多次验证过程中也通过与具有其他自身免疫疾病的对照组比较进一步验证上述抗原表位多肽区分SLE与其他自身免疫疾病的效果,结果表明,上述抗原表位多肽能有效区分SLE与其他自身免疫疾病,所以,该抗原表位多肽有利于应用于诊断过程中实现SLE与其他自身免疫疾病的区分,提供准确的诊断结果,以便及时制定相应治疗策略,实现有效治疗。 | ||||
| 补充信息 | |||||
| 转让方式: | 成熟度: | 预估价值: | |||
| 市场前景: | |||||