样品
成果详情
| 项目简介 | |||||
|---|---|---|---|---|---|
| 技术简介: | |||||
| 专利类型: | 发明 | 专利申请号: | CN202210423585.2 | 公开号: | CN114805344A |
| 专利权人: | 南方医科大学 | 发明设计人: | 陶华明;麦少瑜;钟智卿 | ||
| 所属领域: | |||||
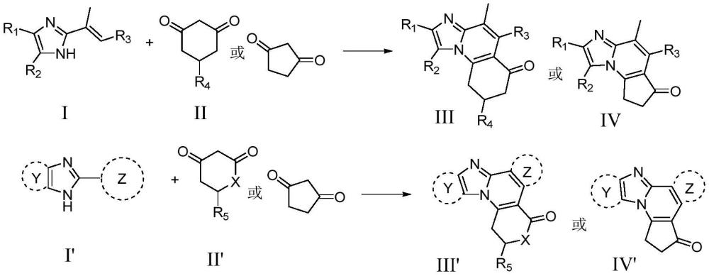
| 摘要: | 本发明属于化学合成技术领域,具体涉及一种2‑苯基咪唑环烯酮类化合物的合成方法。该方法以过渡金属配合物为催化剂,以咪唑类化合物、环二酮类化合物、碘苯二乙酸为原料,在有机溶剂中合成2‑苯基咪唑环烯酮类化合物。上述反应条件温和,不需添加额外的添加剂(如碱‑醋酸钠、价格昂贵的银盐‑醋酸银等)即可以高效快速地构建C‑C键,得到2‑苯基咪唑环化衍生物,操作简单,具有高效率和高安全性;并且底物范围广、官能团耐受性好、产量较好、副产物少,符合绿色化学、高原子经济性的理念,非常适于大规模产业化生产。 | ||||
| 补充信息 | |||||
| 转让方式: | 成熟度: | 预估价值: | |||
| 市场前景: | |||||