样品
成果详情
| 项目简介 | |||||
|---|---|---|---|---|---|
| 技术简介: | |||||
| 专利类型: | 发明 | 专利申请号: | CN202110720644.8 | 公开号: | CN113831401B | 
| 专利权人: | 南方医科大学南方医院 | 发明设计人: | 裘宇容;李欣 | ||
| 所属领域: | |||||
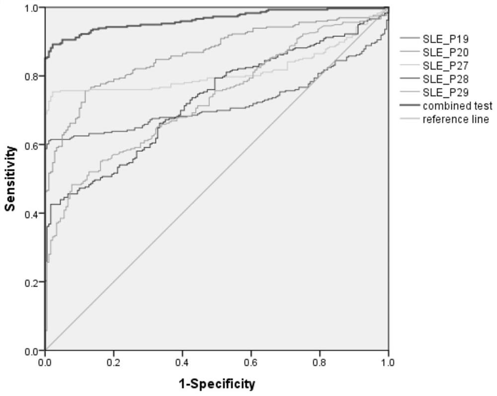
| 摘要: | 本发明公开了一种SLE抗原表位多肽及其在SLE诊断中的作用,该抗原表位多肽能为SLE的诊断提供新的靶标,用以较好的区分SLE患者与健康人群、其他自身免疫疾病患者,便于提供新的诊断策略和试剂,弥补现有SLE诊断技术的空缺。本发明提供的抗原表位多肽在诊断效能上表现优秀,所以,在提供上述新诊断策略、技术、试剂的同时,还能保证诊断的敏感性、特异性。本发明多个抗原表位多肽或与现有自身抗体联合使用还能提高诊断的敏感性、特异性,以获得更为有效的诊断结果。除了上述益处外,该抗原表位多肽还有利于为SLE发生机理的阐述提供研究基础,以便基于该抗原表位多肽进行发生机理的深入研究,促进SLE诊断、治疗方面的发展。 | ||||
| 补充信息 | |||||
| 转让方式: | 成熟度: | 预估价值: | |||
| 市场前景: | |||||