样品
成果详情
| 项目简介 | |||||
|---|---|---|---|---|---|
| 技术简介: | |||||
| 专利类型: | 发明 | 专利申请号: | CN202310451389.0 | 公开号: | CN116165385A |
| 专利权人: | 南方医科大学南方医院 | 发明设计人: | 侯金林;樊蓉;廖星美;赵思如 | ||
| 所属领域: | |||||
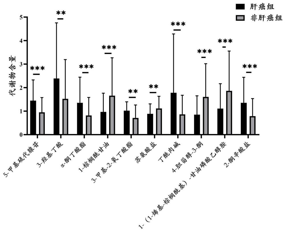
| 摘要: | 本发明属于生物医学技术领域,具体涉及用于肝癌诊断的血清代谢标志物及其筛选方法和应用。本发明提出了用于肝癌诊断的血清代谢标志物,所述血清代谢标志物包括如下化合物的至少一种:5‑甲基硫代腺苷;α‑酮丁酸酯;1‑棕榈酰甘油;3‑甲基‑2‑氧丁酸酯;丁酰肉碱;4‑胆甾醇‑3‑酮;1‑(1‑烯基‑棕榈酰基)‑甘油磷酸乙醇胺;2‑酮辛酸盐;3‑羟基丁酸;苏氨酸盐。本发明表明特定的血清代谢物可作为新型的微创生物标志物,提高疾病诊断水平,该类生物标志物的成功开发为其他疾病生物标志物的研制提供方法和策略上的借鉴。 | ||||
| 补充信息 | |||||
| 转让方式: | 成熟度: | 预估价值: | |||
| 市场前景: | |||||