样品
成果详情
| 项目简介 | |||||
|---|---|---|---|---|---|
| 技术简介: | |||||
| 专利类型: | 发明 | 专利申请号: | CN201810957498.9 | 公开号: | CN110856716A |
| 专利权人: | 天津尚德药缘科技股份有限公司;南方医科大学珠江医院 | 发明设计人: | 龙海波;陈悦 | ||
| 所属领域: | |||||
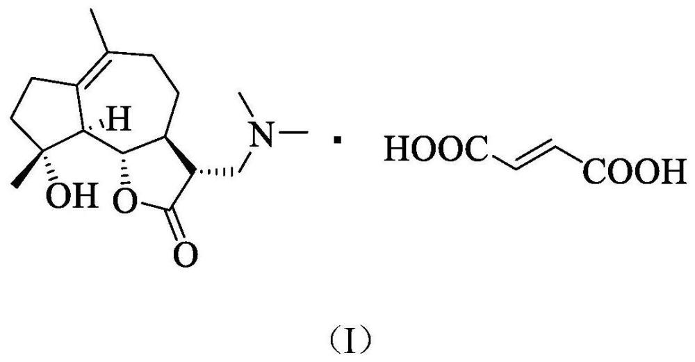
| 摘要: | 本发明涉及二甲胺基含笑内酯富马酸盐在制备药物中的应用,属于药物技术领域,具体涉及式(I)化合物在预防、治疗或辅助治疗肾脏纤维化中的应用及其在制备预防、治疗或辅助治疗肾脏纤维化的药物中的应用。 | ||||
| 补充信息 | |||||
| 转让方式: | 成熟度: | 预估价值: | |||
| 市场前景: | |||||
| 项目简介 | |||||
|---|---|---|---|---|---|
| 技术简介: | |||||
| 专利类型: | 发明 | 专利申请号: | CN201810957498.9 | 公开号: | CN110856716A |
| 专利权人: | 天津尚德药缘科技股份有限公司;南方医科大学珠江医院 | 发明设计人: | 龙海波;陈悦 | ||
| 所属领域: | |||||
| 摘要: | 本发明涉及二甲胺基含笑内酯富马酸盐在制备药物中的应用,属于药物技术领域,具体涉及式(I)化合物在预防、治疗或辅助治疗肾脏纤维化中的应用及其在制备预防、治疗或辅助治疗肾脏纤维化的药物中的应用。 | ||||
| 补充信息 | |||||
| 转让方式: | 成熟度: | 预估价值: | |||
| 市场前景: | |||||