样品
成果详情
| 项目简介 | |||||
|---|---|---|---|---|---|
| 技术简介: | |||||
| 专利类型: | 发明 | 专利申请号: | CN202311376025.7 | 公开号: | CN117586230A |
| 专利权人: | 南方医科大学深圳医院 | 发明设计人: | 李欣;陈建军;刘长林;孙志强 | ||
| 所属领域: | |||||
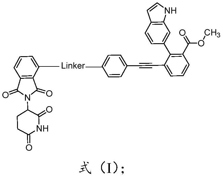
| 摘要: | 本发明属于医药化学技术领域,具体涉及降解EBNA1的PROTAC化合物及其制备方法和应用。该PROTAC化合物能够有效降解癌细胞中的EBNA1蛋白,并具有抑制EBV阳性肿瘤细胞增殖、侵染的能力,对治疗EBV阳性肿瘤具有独特靶向性。且由于EBNA1是EB病毒蛋白,因此不会对正常人体蛋白产生伤害,这决定了降解EBNA1药物具有非常好的特异性以及应用价值。 | ||||
| 补充信息 | |||||
| 转让方式: | 成熟度: | 预估价值: | |||
| 市场前景: | |||||